Đây là bộ đề ôn thi vào lớp 10 môn Vật Lý năm 2022 – 2023 (hệ không chuyên) có đáp án được biên soạn bám sát cấu trúc đề thi môn Vật Lý vào lớp 10 của các tỉnh, thành phố giúp các bạn ôn luyện và giành được kết quả cao trong kì thi tuyển sinh vào lớp 10 mà DN Education tổng hợp, các bạn tham khảo nhé!
Khối không chuyên
Sở Giáo dục và Đào tạo ……..
Kỳ thi tuyển sinh vào lớp 10
Đề thi môn: Vật Lý
Năm học 2022 – 2023
Thời gian: 60 phút
Câu 1: Bạn Lan chiếu một tia sáng đi từ không khí vào nước rồi đo góc tới và góc khúc xạ. Hãy chỉ ra cặp số liệu nào có thể là kết quả mà bạn Lan thu được.
- Góc tới bằng 40o30’; góc khúc xạ bằng 60o
- Góc tới bằng 60o; góc khúc xạ bằng 40o30’
- Góc tới bằng 90o; góc khúc xạ bằng 0o
- Góc tới bằng 0o; góc khúc xạ bằng 90o.
Câu 2: Chọn phát biểu sai khi nói về cấu tạo và các đặc điểm của mắt
- Về phương diện quang hình học, mắt giống như một máy ảnh.
- Thuỷ tinh thể của mắt tương tự như vật kính của máy ảnh tức không thể thay đổi được tiêu cự.
- Bất kì mắt nào (mắt bình thường hay bị tật cận thị hay viễn thị) đều có hai điểm đặc trưng gọi là điểm cực cận và điểm cực viễn.
- A, và C đều đúng.
Câu 3: Chọn phát biểu đúng
- Khi một hiệu điện thế xoay chiều vào hai đầu cuộn dây sơ cấp của một máy biến thế thì ở cuộn dây thứ cấp xuất hiện một hiệu điện thế xoay chiều.
- Máy biến thế có thể chạy bằng dòng điện một chiều.
- Không thể dùng dòng điện xoay chiều để chạy máy biến thế mà dùng dòng điện một chiều để chạy máy biến thế.
- Máy biến thế gồm một cuộn dây và một lõi sắt.
Câu 4: Để mắt có thể nhìn rõ vật ở các khoảng cách khác nhau thì.
- thấu kính mắt phải dịch chuyển ra xa hay lại gần màng lưới sao cho ảnh của vật luôn nằm trên màng lưới.
- thấu kính mắt phải thay đổi tiêu cự nhờ cơ vòng để cho ảnh của vật luôn nằm trên màng lưới.
- thấu kính mắt đồng thời vừa chuyển dịch ra xa hay lại gần màng lưới và vừa phải thay đổi tiêu cự nhờ cơ vòng để cho ảnh của vật luôn nằm trên màng lưới.
- màng lưới phải dịch lại gần hay ra xa thấu kính mắt sao cho ảnh của vật luôn nằm trên màng lưới
Câu 5: Trên một bàn là có ghi 110V – 550W và trên một bóng đèn dây tóc có ghi 110V – 40W. Có thể mắc nối tiếp hai dụng cụ này vào hiệu điện thế lớn nhất là bao nhiêu để chúng không bị hỏng ? Chọn đáp án đúng.
- 110 V. B. 118 V.
- 220 V. D. 128 V.
Câu 6: Chọn mốc thế năng tại mặt đất. Trong các trường hợp sau, trường hợp nào vật có cả động năng và thế năng?
- Một máy bay đang chuyển động trên đường băng của sân bay.
- Một ô tô đang đỗ trong bến xe.
- Một máy bay đang bay trên cao.
- Một ô tô đang chuyển động trên đường.
Câu 7: Trong các sự truyền nhiệt dưới đây, sự truyền nhiệt nào không phải là bức xạ nhiệt?
- Sự truyền nhiệt từ Mặt Trời tới Trái Đất.
- Sự truyền nhiệt từ bếp lò tới người đứng gần bếp lò.
- Sự truyền nhiệt từ đầu bị nung nóng sang đầu không bị nung nóng của một thanh đồng.
- Sự truyền nhiệt từ dây tóc bóng đèn đang sáng ra khoảng không gian bên trong bóng đèn.
Câu 8: Hình nào biểu diễn đúng hướng lực từ tác dụng lên một đoạn dây dẫn thẳng mang dòng điện I có chiều như hình vẽ đặt trong từ trường đều, đường sức từ có hướng như hình vẽ:
Câu 9: Ở các nhà cao tầng, người ta lắp cột thu lôi để chống sét. Dây nối đầu cột thu lôi xuống đất là dây sắt, có điện trở suất là 12,0.10-8Ω.m. Nếu dây sắt làm cột thu lôi dài 40m và có đường kính tiết diện là 8mm thì điện trở của dây là
- 9,55 Ω B. 5,99 Ω
- 0,0955 Ω D. 0,955 Ω
Câu 10: Trên thanh nam châm, chỗ nào hút sắt mạnh nhất?
- Phần giữa của thanh.
- Chỉ có từ cực Bắc.
- Cả hai từ cực.
- Mọi chỗ đều hút sắt mạnh như nhau.
Câu 11: Có hiện tượng gì xảy ra với miếng nam châm khi cho dòng điện lay chiều chạy vào nam châm điện ở hình vẽ thí nghiệm sau?
- Miếng nam châm bị nam châm điện hút chặt.
- Miếng nam châm bị nam châm điện đẩy ra.
- Miếng nam châm đứng yên, không bị hút, không bị đẩy.
- Miếng nam châm luân phiên bị nam châm điện hút, đẩy.
Câu 12: Hai ôtô cùng khởi hành và chuyển động thẳng đều và ngược chiều nhau. Vận tốc của xe thứ nhất gấp 1,2 lần vận tốc của xe thứ hai. Ban đầu hai xe cách nhau 198 km và sau 2 giờ thì hai xe gặp nhau. Vận tốc của xe thứ nhất và xe thứ hai lần lượt là
- 42 km/h và 35 km/h. B. 54 km/h và 45 km/h.
- 66 km/h và 55 km/h. D. 54 km/h và 66 km/h.
Câu 13: Dòng điện có cường độ 2mA chạy qua một điện trở 3kΩ trong thời gian 10 phút thì nhiệt lượng tỏa ra ở điện trở này có giá trị dưới đây?
- Q = 7,2J B. Q = 60J
- Q = 120J D. Q = 3600J
Câu 14: Hai kính lúp có độ bội giác lần lượt là 2,5x và 4x. Tiêu cự của hai kính hơn kém nhau một lượng là
- 10 cm. B. 6,25 cm.
- 5 cm. D. 3,75 cm.
Câu 15: Trên hai bóng đèn có ghi 220 V – 60 W và 220 V – 75 W. Biết rằng dây tóc của hai đèn này đều bằng vonfam và có tiết diện như nhau. Dây tóc của đèn nào có độ dài lớn hơn và lớn hơn bao nhiêu lần? Chọn đáp án đúng.
- Dây tóc của bòng đèn 60 W sẽ dài hơn và dài hơn 1,25 lần.
- Dây tóc của bòng đèn 75 W sẽ dài hơn và dài hơn 1,25 lần.
- Dây tóc của bòng đèn 60 W sẽ dài hơn và dài hơn 2,5 lần.
- Dây tóc của bòng đèn 75 W sẽ dài hơn và dài hơn 2,5 lần.
Câu 16: Trường hợp nào sau đây có số đường sức từ xuyên qua tiết diện S của cuộn dây khác với các trường hợp còn lại?
- Đưa nam châm lại gần cuộn dây theo phương vuông góc với tiết diện S của cuộn dây.
- Đặt nam châm đứng yên trong cuộn dây.
- Để nam châm đứng yên, cho cuộn dây chuyển động lại gần nam châm.
- Đưa nam châm và cuộn dây lại gần nhau.
Câu 17: Cho mạch điện có sơ đồ như hình vẽ: Nguồn điện có hiệu điện thế không đổi 12V, điện trở R = 12 Ω. Phải điều chỉnh biến trở có điện trở là bao nhiêu để vôn kế chỉ 4,5V.
- 20 Ω. B. 10 Ω.
- 6 Ω. D. 16 Ω.
Câu 18: Kính cận thích hợp là kính phân kì có tiêu điểm F
- trùng với điểm cực cận của mắt.
- trùng với điểm cực viễn của mắt.
- nằm giữa điểm cực cận và điểm cực viễn của mắt.
- nằm giữa điểm cực cận và thể thủy tinh của mắt.
Câu 19: Một ống dây dẫn được đặt sao cho trục chính của nó nằm dọc theo thanh nam châm như hình dưới. Đóng công tắc K, đầu tiên thấy thanh nam châm bị đẩy ra xa. Đầu B của nam châm là cực gì ?
- Cực Bắc.
- Cực Nam
- Cực Bắc Nam.
- Không đủ dữ kiện để xác định
Câu 20: Câu nào sau đây mô tả chuyển động của một vật nặng được thả rơi từ đỉnh cột buồm của một con thuyền đang chuyển động dọc theo bờ sông, là không đúng?
- Cả người đứng trên thuyền và đứng trên bờ sông đều thấy vật rơi dọc theo cột buồm.
- Người đứng trên bờ thấy vật rơi theo đường cong.
- Người đứng trên thuyền thấy vật rơi thẳng đứng.
- Người đứng trên bờ thấy vật rơi thẳng đứng.
Câu 21: Hình vẽ sau cho biết Δ là trục chính của một thấu kính, S là vật sáng, S’ là ảnh của S. Đây là loại kính gì và ảnh S’ là ảnh gì ? Chọn đáp án đúng.
- Thấu kính phân kỳ và S’ là ảnh ảo.
- Thấu kính phân kỳ và S’ là ảnh thật.
- Thấu kính hội tụ và S’ là ảnh ảo.
- Thấu kính hội tụ và S’ là ảnh thật.
Câu 22: Người ta truyền tải dòng điện xoay chiều từ trạm phát điện cách nơi tiêu thu 15km bằng dây dẫn kim loại có điên trở suất ρ = 4.10-7 Ωm, tiết diện 0,5 cm2. Điện áp và công suất ở trạm là 10kV và 600kW. Công suất tỏa nhiệt trên đường dây trong quá trình truyền tải điện năng là
- 432000W B. 43200W
- 216000W D. 21600W
Câu 23: Trong các hiện tượng sau đây, hiện tượng nào không phải do chuyển động không ngừng của các nguyên tử, phân tử gây ra?
- Sự khuếch tán của đồng sunfat vào nước.
- quả bóng bay dù được buộc thật chặt vẫn xẹp dần theo thời gian.
- Sự tạo thành gió
- Đường tan vào nước.
Câu 24: Động cơ của một máy bay có công suất 2.106 W và hiệu suất 32%. Biết năng suất tỏa nhiệt của xăng là 4,6.107 J/kg.Vậy với một tấn xăng, máy bay có thể bay được bao nhiêu lâu? Chọn đáp án đúng.
- 1,02 giờ. B. 3,04 giờ.
- 2,04 giờ. D. 3,02 giờ
Câu 25: Câu nào dưới đây so sánh dẫn nhiệt và đối lưu là đúng?
- Dẫn nhiệt là quá trình truyền nhiệt, đối lưu không phải là quá trình truyền nhiệt.
- Cả dẫn nhiệt và đối lưu đều có thể xảy ra trong không khí.
- Dẫn nhiệt xảy ra trong môi trường nào thì đối lưu cũng có thể xảy ra trong môi trường đó.
- Trong nước, dẫn nhiệt xảy ra nhanh hơn đối lưu.
Câu 26: Thả một vật đặc có trọng lượng riêng dv vào một bình đựng chất lỏng có trọng lượng riêng d1 thì
- vật sẽ chìm xuống đáy rồi lại nổi lên lơ lửng trong chất lỏng khi dv> d1.
- vật sẽ chìm xuống đáy rồi lại nổi lên một phần trên mặt chất lòng khi dv= d1.
- vật sẽ chìm xuống đáy rồi nằm im tại đáy khi dv> d1.
- vật sẽ chìm xuống đáy rồi lại nổi một nửa trên mặt chất lỏng khi dv= 2dl.
Câu 27: Nếu vật chịu tác dụng của các lực không cân bằng thì các lực này không thể làm vật
- Đang chuyển động sẽ chuyển động nhanh lên.
- Đang chuyển động sẽ chuyển động chậm lại.
- Đang chyển động sẽ tiếp tục chuyển động thẳng đều
- Bị biến dạng.
Câu 28: Một nhiệt lượng kế chứa 2 lít nước ở nhiệt độ 15oC. Lấy nhiệt dung riêng của đồng thau là 368J/kgK, của nước là 4186J/kgK. Bỏ qua nhiệt lượng truyền cho nhiệt lượng kế và môi trường bên ngoài. Nếu bỏ vào nhiệt lượng kế một quả cầu bằng đồng thau khối lượng 500 g được đun nóng tới 100oC thì nhiệt độ của nước khi có cân bằng nhiệt là
- 20,21oC. B. 30,21oC.
- 16,83oC. D. 19,83oC.
Câu 29: Chuyển động “lắc lư” của con lắc đồng hồ như hình vẽ là chuyển động:
- Thẳng đều.
- Tròn đều.
- Không đều, tự vị trí 1 đến vị trí 2 là nhanh dần, còn từ vị trí 2 đến vị trí 3 là chậm dần.
- Không đều từ vị trí 1 đến 2 là chậm dần, còn từ vị trí 2 đến vị trí 3 là nhanh dần.
Câu 30: Người ta dùng máy ảnh để chụp ảnh một bức tranh cao 0,5m và đặt cách máy 1,5m. Người ta thu được ảnh trên phim cao 2,4 cm. Khoảng cách từ phim đến vật kính lúc chụp ảnh là:
- 0,8 cm B. 7,2 cm
- 0,8 m D. 7,2 m
Câu 31: Đặt một nam châm điện A có dòng điện xoay chiều chạy qua trước một cuộn dây dẫn kín B. Sau khi công tắc K đóng thì trong cuộn dây B có xuất hiện dòng điện cảm ứng. Người ta sử dụng tác dụng nào của dòng điện xoay chiều?
- Tác dụng cơ B. Tác dụng nhiệt
- Tác dụng quang D. Tác dụng từ
Câu 32: Tìm từ thích hợp điền vào chỗ trống
Dòng điện cảm ứng chỉ xuất hiện trong cuộn dây dẫn kín trong thời gian có sự….. qua tiết diện S của cuộn dây.
- biến đổi của cường độ dòng điện.
- biến đổi của thời gian.
- biến đổi của dòng điện cảm ứng.
- biến đổi của số đường sức từ.
Câu 33: Một khu dân cư có 500 hộ gia đình, trung bình mỗi hộ sử dụng 4 giờ một ngày với công suất điện 120W. Điện năng mà khu dân cư này sử dụng trong 30 ngày là
- 720 kWh. B. 720000W.
- 180 kWh. D. 180000W
Câu 34: Việc làm nào dưới đây là không an toàn khi sử dụng điện?
- Việc sử dụng các dây dẫn có vỏ bọc cách điện.
- Phơi quần áo lên dây dẫn điện của gia đình.
- Sử dụng hiệu điện thế 12V để làm các thí nghiệm điện.
- Mắc cầu chì thích hợp cho mỗi thiết bị điện.
Câu 35: Hình vẽ sau là đồ thị biểu diễn sự phụ thuộc của cường độ dòng điện vào hiệu điện thế giữa hai đầu dây dẫn. Khi đặt vào hai đầu dây dẫn một điện áp U = 20 V thì cường độ dòng điện qua dây dẫn là
- 0,1 A. B. 0,2 A.
- 0,3 A. D. 0,4 A.
Câu 36: Cùng một vật được thả vào bốn bình đựng bốn chất lỏng khác nhau (hình vẽ). Hãy dựa vào hình vẽ để so sánh trọng lượng riêng của các chất lỏng.
- d1> d2> d3 > d4
- d4> d1> d2 > d3
- d3> d2> d1 > d4
- d4> d1> d3 > d2
Câu 37: Người ta nâng một vật nặng lên cùng một độ cao bằng hai cách. Cách thứ nhất, kéo vật bằng một ròng rọc cố định (hình a). Cách thứ hai, kết hợp một ròng rọc cố định và một ròng rọc động (hình b). Nếu bỏ qua trọng lượng và ma sát của ròng rọc thì
- Công thực hiện ở hai cách đều bằng nhau.
- Công thực hiện ở cách thứ nhất lớn hơn vì lực kéo bằng trọng lượng của vật.
- Công thực hiện ở cách thứ hai lớn hơn vì phải kéo dây dài hơn.
- Công thực hiện ở cách thứ hai nhỏ hơn vì lực kéo nhỏ hơn trọng lượng của vật.
Câu 38: Một biến trở Rb có giá trị lớn nhất là 30Ω được mắc với hai điện trở R1 = 15Ω và R2 = 10Ω thành mạch có sơ đồ như hình vẽ. Trong đó hiệu điện thế không đổi U = 4,5V. Khi điều chỉnh biến trở thì cường độ dòng điện chạy qua điện trở R1 có giá trị lớn nhất Imax là
- 0,2 A. B. 0,3 A.
- 0,4 A D. 0,5 A
Câu 39: Đầu thép của một búa máy có khối lượng 12kg nóng lên thêm 20oC sau 1,5 phút hoạt động. Biết rằng chỉ có 40% cơ năng của búa máy chuyển thành nhiệt năng của đầu búa. Lấy nhiệt rung riêng của thép là 460J/kgK. Công suất của búa là
- 3096 W. B. 3067 W.
- 2096 W. D. 2067 W.
Câu 40: Một ôtô chuyển động trên chặng đường gồm ba giai đoạn liên tiếp cùng chiều dài. Vận tốc của xe trên mỗi đoạn là v1 = 12 m/s; v2 = 8 m/s; v3 = 16 m/s. Vận tốc trung bình của ôtô trên cả chặng đường là
- 12 m/s. B. 11,1 m/s.
- 13,3 m/s. D. 14,3 m/s.
Đáp án & Hướng dẫn giải
| 1.B | 2.B | 3.A | 4.B | 5.B |
| 6.C | 7.C | 8.A | 9.C | 10.C |
| 11.D | 12.B | 13.A | 14.D | 15.A |
| 16.B | 17.A | 18.B | 19.B | 20.D |
| 21.A | 22.A | 23.C | 24.C | 25.B |
| 26.C | 27.C | 28.C | 29.C | 30.B |
| 31.D | 32.D | 33.A | 34.B | 35.D |
| 36.C | 37.A | 38.B | 39.B | 40.B |
Câu 1: Đáp án: B
Góc tới bằng 60o; góc khúc xạ bằng 40o30’ (vì khi ánh sáng đi từ không khí vào nước thì góc tới lớn hơn góc khúc xạ).
Câu 2: Đáp án: B
Thuỷ tinh thể của mắt có thể thay đổi được tiêu cự
Câu 3: Đáp án A.
Không thể dùng dòng điện không đổi (dòng điện một chiều) để chạy máy biến thế đượC. Máy biến thế gồm hai cuộn dây có số vòng khác nhau và một lõi sắt.
Câu 4: Đáp án: B
Để mắt có thể nhìn rõ vật ở các khoảng cách khác nhau thì thấu kính mắt phải thay đổi tiêu cự nhờ cơ vòng để cho ảnh của vật luôn nằm trên màng lưới
Câu 5: Đáp án: B
Tóm tắt
Uđm1 = 110V; Pđm1 = 550W; Uđm2 = 110V; Pđm2 = 40W;
Nối tiếp bàn là và đèn: Umax = ?
Giải
Điện trở của bàn là là:
Điện trở của bóng đèn là:
Cường độ định mức của bàn là và đèn tương ứng là:
Iđm1 = Pđm1 / Uđm1 = 550/110 = 5A;
Iđm2 = Pđm2 / Uđm2 = 40/110 = 4/11A = 0,364A.
Khi mắc nối tiếp hai dụng cụ điện này thì dòng điện chạy qua chúng có cùng cường độ và chỉ có thể lớn nhất là Imax = Iđm2 = 0,364A, vì nếu lớn hơn thì bóng đèn sẽ hỏng. Vậy có thể mắc nối tiếp hai dụng cụ này vào hiệu điện thế lớn nhất là:
Umax = Imax.(R1 + R2) = 118V
Câu 6: Đáp án C
– Một máy bay đang chuyển động trên đường băng của sân bay, một ô tô đang chuyển động trên đường ⇒ có động năng.
– Một ô tô đang đỗ trong bến xe ⇒ không có động năng vì ô tô đang đỗ.
– Một máy bay đang bay trên cao ⇒ có cả động năng và thế năng.
Câu 7: Đáp án C.
Vì sự truyền nhiệt từ đầu bị nung nóng sang đầu không bị nung nóng của một thanh đồng là sự truyền nhiệt bằng hình thức dẫn nhiệt không phải là bức xạ nhiệt.
Câu 8: Đáp án A.
Áp dụng quy tắc bàn tay trái: chiều từ cổ tay đến ngón tay giữa là chiều dòng điện (trái qua phải), chiều cảm ứng từ (trong ra ngoài) hướng vào lòng bàn tay, chiều ngón cái choãi ra (trên xuống dưới) chỉ chiều lực từ.
Câu 9: Đáp án C.
Tóm tắt
ρ = 12.10-8Ω.m; l = 40m; d = 8mm = 8.10-3m; R = ?
Lời giải
Tiết diện của dây sắt:
Điện trở của dây sắt:
Câu 10: Đáp án C.
Hai cực từ của thanh nam châm luôn có từ tính mạnh nhất, ở giữa từ tính yếu nhất.
Câu 11: Đáp án D.
Khi có dòng điện xoay chiều chạy trong nam châm điện thì mỗi khi dòng điện đổi chiều thì nam châm đổi từ cực. Do đó miếng nam châm liên tục bị nam châm điện hút, đẩy (dao động).
Câu 12: Đáp án B.
Gọi v1, v2 lần lượt là vận tốc của xe thứ nhất và xe thứ hai.
Vận tốc của xe thứ nhất gấp 1,2 lần vận tốc của xe thứ hai nên v1 = 1,2.v2
Sau mỗi giờ (1h) hai xe lại gần nhau 1 khoảng: v1 + v2 = 1,2.v2 + v2 = 2,2.v2.
Ban đầu hai xe cách nhau 198 km và sau 2h hai xe gặp nhau nên ta có:
2,2.v2.2 = 198
⇒ v2 = 45km/h và v1 = 54km/h.
Câu 13: Đáp án A.
Tóm tắt
I = 2mA = 2.10-3A; R = 3kΩ = 3000Ω; t = 10 phút = 600s; Q = ?
Lời giải:
Nhiệt lượng tỏa ra ở điện trở này có giá trị:
Q = I2. R.t = (2.10-3)2. 3000.600 = 7,2J
Câu 14: Đáp án D
Tiêu cự của hai kính:
Suy ra f1 – f2 = 3,75 cm.
Câu 15: Đáp án A.
Ta có: cho nên khi hai dây tóc làm cùng một vật liệu và có tiết diện bằng nhau thì day nào có điện trở lớn hơn thì sẽ dài hơn
Mặt khác công suất tiêu thụ trên điện trở R là:
Cho nên khi hai đèn hoạt động cùng hiệu điện thế định mức thì đèn nào có công suất lớn hơn sẽ có điện trở nhỏ hơn.
Vậy, đèn 2 có điện trở nhỏ hơn nên dây tóc đèn 2 nhỏ hơn dây tóc đèn 1
Ta có:
(vì U1 = U2 = 220V)
Vậy dây tóc của bòng đèn 60W sẽ dài hơn và dài hơn 1,25 lần.
Câu 16: Đáp án B
Đáp án A, D, C: số đường sức từ xuyên qua tiết diện S của cuộn dây tăng.
Đáp án B: số đường sức từ xuyên qua tiết diện S của cuộn dây không đổi.
Câu 17: Đáp án A.
Cường độ dòng điện chạy qua điện trở R và biến trở khi đó là:
Điện trở của biến trở là:
Câu 18: Đáp án B.
Kính cận thị thích hợp có tiêu điểm F trùng với điểm cực viễn (CV) của mắt (tiêu cự của kính bằng khoảng cực viễn).
Câu 19: Đáp án B.
Áp dụng quy tắc nắm bàn tay phải ta xác định được đầu Q của ống dây là cực từ Bắc.
Mà thanh nam châm bị đẩy ra xa nên đấu A là cực Bắc, B là cực Nam.
Câu 20: Đáp án D.
+ Đối với người đứng trên bờ thì vật vừa rơi thẳng đứng dưới tác dụng của trọng lực, vừa chuyển động dọc theo dòng sông cùng với thuyền nên quỹ đạo rơi của vật không thể là đường thẳng đứng mà phải là đường cong.
+ Cả vật và thuyền đều chuyển động dọc theo dòng sông nên cả người trên bờ và người trên thuyền sẽ thấy vật rơi dọc theo cột buồm.
+ Vật và người trên thuyền cùng chuyển động dọc theo dòng sông nên người trên thuyền sẽ thấy vật rơi thẳng đứng.
Câu 21: Đáp án A.
Vì ảnh S’ và vật S nằm cùng phía so với trục chính nên S’ là ảnh ảo.
Mặt khác S’ gần trục chính hơn S nên đây là thấu kính phân kỳ.
Câu 22: Đáp án A.
Đổi 15km = 15000m; 10kV = 10000V; 600kW = 600000W; 0,5cm2 = 0,5.10-4m2
Điện trở toàn dây dẫn là:
Công suất tỏa nhiệt trên đường dây là:
Câu 23: Đáp án C.
Vì sự tạo thành gió trong tự nhiên là do hiện tượng đối lưu của các dòng không khí lớn chứ không phải do chuyển động không ngừng của các nguyên tử, phân tử.
Câu 24: Đáp án C.
Ta có: Q = q.m = 4,6.107.1000 = 46.109 J
A = Q.H = 46.109.0,32 = 1472.107 J
Thời gian máy bay được là:
Câu 25: Đáp án B.
Cả dẫn nhiệt và đối lưu đều có thể xảy ra trong không khí.
Câu 26: Đáp án C.
Thả một vật đặc có trọng lượng riêng dv vào một bình đựng chất lỏng có trọng lượng riêng d1 thì vật sẽ chìm xuống đáy rồi nằm im tại đáy khi dv > d1.
Câu 27: Đáp án C.
Nếu vật chịu tác dụng của các lực không cân bằng thì các lực này không thể làm vật đang chyển động sẽ tiếp tục chuyển động thẳng đều.
Câu 28: Đáp án C.
Tóm tắt
Nước: Vnước = 2 lít ⇔ m1 = 2kg; t1 = 15oC; c1 = 4186J/kg.K
Đồng: m2 = 500g = 0,5kg, t2 = 100oC; c2 = 368J/kg.K
Tìm t = ? (oC)
Giải
Nhiệt lượng quả cầu đồng tỏa ra là: Q2 = m2.c2.(t2 – t) = 0,5.368.(100 – t)
Nhiệt lượng nước thu vào là: Q1 = m1.c1.(t – t1) = 2.4186.(t – 15)
Vì nhiệt lượng tỏa ra bằng nhiệt lượng thu vào nên:
Qthu = Qtỏa ⇔ Q2 = Q1
⇔ 0,5.368.(100 – t) = 2.4186.(t – 15)
Suy ra t = 16,83oC
Câu 29: Đáp án C.
Vì khi đi từ vị trí 1 cao hơn xuống vị trí 2 thì vật chuyển động nhanh dần, còn khi đi từ vị trí 2 lên vị trí 3 thì vật chuyển động chậm dần.
Câu 30: Đáp án B
Vẽ tia sáng tới phát ra từ đỉnh bức tranh qua quang tâm O của vật kính cho tia ló truyền thẳng cho ảnh A’ của A trên phim ⇒ A và A’ nằm trên cùng đường thẳng qua O.
Khoảng cách từ phim đến vật kính lúc chụp ảnh là:
Câu 31: Đáp án D.
Người ta sử dụng tác dụng từ của dòng điện xoay chiều.
Câu 32: Đáp án D
Dòng điện cảm ứng chỉ xuất hiện trong cuộn dây dẫn kín trong thời gian có sự biến đổi của số đường sức từ qua tiết diện S của cuộn dây.
Câu 33: Đáp án A
Công suất điện trung bình của cả khu dân cư là:
P = 4.30.500 = 60000 W = 60 kW
Điện năng mà khu dân cư này sử dụng trong 30 ngày là:
A = P.t = 60.4.30 = 720 kW.h
Câu 34: Đáp án B
Việc làm không an toàn khi sử dụng điện: Phơi quần áo lên dây dẫn điện của gia đình.
Câu 35: Đáp án D.
Căn cứ vào đồ thị, khi U0 = 0V thì I0 = 0A; U1 = 25V thì I1 = 0,5A và I tỷ lệ với U
Ta có:
Câu 36:Đáp án C.
Khi vật chìm thì lực đẩy Ác- si–mét FA < P nên d4 < dv. Do đó trọng lượng riêng của chất lỏng d4 là nhỏ nhất.
Khi vật lơ lửng trong chất lỏng thì lực đẩy Ác – si – mét FA = P nên dl = dv mà các vật đều giống nhau nên dv là như nhau nên d1 > d4.
Khi vật nổi trên chất lỏng thì lực đẩy Ác – si – mét cân bằng với trọng lượng của vật nên lực đẩy Ác – si –mét trong hai trường hợp đó bằng nhau (bằng trọng lượng của vật).
+ Trường hợp thứ hai: F2 = d2.V2
+ Trường hợp thứ ba: F3 = d3.V3
Mà F2 = F3 và V2 > V3 (V2, V3 là thể tích của phần chất lỏng bị vật chiếm chỗ). Do đó, trọng lượng riêng của chất lỏng thứ hai lớn hơn trọng lượng riêng của chất lỏng thứ nhất hay d2 < d3.
Từ trên ta có: d3 > d2 > d1 > d4
Câu 37: Đáp án A.
Vì theo định luật về công thì không có một máy cơ đơn giản nào cho ta lợi về công nên công thực hiện ở hai cách đều như nhau.
Câu 38: Đáp án B
Cường độ dòng điện lớn nhất Imax khi R2b nhỏ nhất.
R2b nhỏ nhất khi Rb = 0
Câu 39: Đáp án B
Tóm tắt
m = 12kg; Δt = 20oC; c = 460 J/kg.K
T = 1,5 phút = 90s; H = 40%
P = ?W
Giải
Nhiệt lượng đầu búa nhận được là:
Q = m.c.Δt = 12.460.20 = 110400J
Chỉ có 40% cơ năng của búa máy chuyển thành nhiệt năng của đầu búa nên công của búa máy thực hiện trong 1,5 phút là:
Công suất của búa là:
Câu 40: Đáp án B.
Chặng đường gồm ba giai đoạn liên tiếp cùng chiều dài nên s1 = s2 = s3 = s.
Thời gian ô tô chuyển động trên mỗi chặng lần lượt là:
Vận tốc trung bình của ô tô trên cả chặng đường là:
Sở Giáo dục và Đào tạo ……..
Kỳ thi tuyển sinh vào lớp 10
Đề thi môn: Vật Lý
Năm học 2022 – 2023
Thời gian: 60 phút
Câu 1 (2,0 điểm):
- a) Tại sao bộ phận chính của những dụng cụ đốt nóng bằng điện đều làm bằng dây dẫn có điện trở suất lớn?
- b) Tính điện trở của ấm điện có ghi 220V – 1000W khi ấm hoạt động bình thường.
- c) Dây điện trở của ấm điện trên dây làm bằng nicrom dài 2 m và có tiết-diên tròn. Tính đường kính tiết diên của dây điện trở này.
Câu 2 (2,0 điểm): Trên hình vẽ sau, ống dây B sẽ chuyển động như thế nào khi đóng công tắc K của ống dây A? Vì sao? Biết ống dây A được giữ đứng yên
Câu 3 (2,0 điểm): Hình vẽ bên là đồ thị biểu diễn sự phụ thuộc của cường độ dòng điện vào hiệu điện thế khi làm thí nghiệm lần lượt với hai điện trở khác nhau, trong đó đường (1) là đồ thị vẽ được khi dùng điện trở thứ nhất và đường (2) là đồ thị vẽ được khi dùng điện trở thứ hai. Nếu mắc hai điện trở này nối tiếp với nhau và duy trì hai đầu mạch một hiệu điện thế không đổi U = 18V thì cường độ dòng điện qua mạch là bao nhiêu?
Câu 4 (3,0 điểm): Trên hai bóng đèn dây tóc Đ1 và Đ2 có ghi số tương ứng là 3V – 1,2W và 6V – 6W. Cần mắc hai đèn này cùng với một biến trở vào hiệu điện thế U = 9V để hai bóng đèn này sáng bình thường
- a) Vẽ sơ đồ mạch điện thỏa mãn yêu cầu nói trên và giải thích tại sao khi đó hai bóng đèn có thể sáng
- b) Tính điện trở của mỗi bóng đèn và của biến trở khi đó
- c) Tính công suất điện của biến trở khi đó
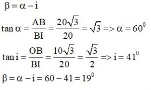
Câu 5 (1,0 điểm): Một ly đựng đầy nước hình trụ cao 20 cm có đường kính 20 cm. Một người đặt mắt gần miệng ly nhìn theo phương AM thì vừa vặn thấy tâm O của đáy ly.
- a) Vẽ đường đi của tia sáng phát ra từ O và truyền tới mắt người quan sát.
- b) Tính góc hợp bởi phương của tia tới với phương của tia khúc xạ.
Đáp án & Hướng dẫn giải
Câu 1:
- a) Các dụng cụ đốt nóng bằng điện đều có bộ phận chính được làm bằng dây dẫn có điện trở suất lớn để đoạn dây dân này có điện trở lớn.
Khi có dòng điện chạy qua thì nhiệt lượng hầu như chỉ tỏa ra ở đoạn dây dẫn này mà không tỏa ra ở dây nối. (0,50 đ)
- b) Điện trở của ấm điện là:
Ta có: P = U2/R ⇒ R = U2/P = 2202/1000 = 48,4 (0,50 đ)
- c) Tiết diện của dây điện trở là:
Đường kính tiết diện của dây điện trở là d.
Ta có:
Vậy d = 0,24 mm.
Câu 2:
Khi đóng khóa K cuộn dây A trở thành nam châm điện và đầu của ống dây A gần ống dây B là cực Bắc. Mặt khác dòng điện chạy trong ống B có chiều như hình vẽ.
Vì vậy B cũng biến thành nam châm điện có cực Bắc (N) là đầu gần ống A. (0,5 đ)
Do đó hai ống dây này sẽ đẩy nhau. Do ống A được giữ cố định nên ống B bị đẩy ra xa. (0,5 đ)
Câu 3:
Từ đồ thị (1) ta thấy khi U = 12 V thì I = 4 A. Vậy điện trở R1 có giá trị là:
Từ đồ thị (2) ta thấy khi U = 24 V thì I = 4 A. Vậy điện trở R2 có giá trị là:
Khi hai điện trở mắc nối tiếp thì điện trở tương đương là: R12 = R1 + R2 = 9 Ω.
Cường độ dòng điện qua hai điện trở khi mắc vào hiệu điện thế 18 V là:
Câu 4:
Lời Tóm tắt
Đèn 1: Uđm1 = U1 = 3V; Pđm1 = P1 = 1,2W;
Đèn 2: Uđm2 = U2 = 6V, Pđm2 = P2 = 6W; U = 9V
- a) Vẽ sơ đồ mạch điện; giải thích?
- b) R1= ? R2= ?
- c) Pbếp= Pb= ?
Giải:
- a) Vì Uđm1+ Uđm2= 3 + 6 = 9V = U nên mắc bóng đèn Đ1 nối tiếp với đèn Đ2 (0,5 đ)
Mặt khác cường độ dòng điện định mức qua hai đèn lần lượt là:
Ta thấy I2 > I1 nên để hai đèn sáng bình thường thì phải mắc Rb song song với đèn Đ1 như hình vẽ.
- b) Vì đèn 1 song song với biến trở nên U1= Ub= 3V và I1 + Ib = I2 = I
→ Ib = I2 – I1 = 1 – 0,4 = 0,6A (0,5 đ)
Điện trở của mỗi đèn và biến trở khi đó:
- c) Công suất của biến trở khí đó: Pb= Ub. Ib= 3.0,6 = 1,8W (0,5 đ)
Câu 5:
- a) Đường đi của tia sáng là OIM.
- b) Góc β hợp bởi phương của tia tới với tia khúc xạ là:

CÔNG TY TNHH DỊCH VỤ VÀ GIÁO DỤC DANH NHÂN (DN EDUCATION)
Trụ sở chính: 123A Đường TL37, P.Thạnh Lộc, Quận 12, TP. Hồ Chí Minh.
Điện thoại: 0907 839 019 (Zalo ThS. Nguyễn Đình Đương).
Fanpage: DN Education

